以下文章来源于:药智网
近日,在首尔大学药学院召开了第27届有机合成学会,三场主题演讲聚焦ADC药物平台,PROTAC降解剂进展和DEL技术助力新药研发。下面和大家分享一下讲座精华和笔者的一些感想。
关键词:ADC
第一位发言的是来自韩国Aptis公司的金博士(Joo-Hwan Kim),演讲主题为:新一代抗体-药物共轭(ADC)技术抗体结合位点的选择性结合。内容主要是基于已发表的论文:通过邻近驱动的S到N酰基转移反应对治疗性抗体进行位点选择性抗体-药物偶联。

图1 ADC新技术论文
图片来源:参考资料1
该项目,研究了一种将药物附着到抗体上以产生抗体-药物偶联物的新方法。
研发人员使用一种特殊的肽和一种名为AbClick-1的化学物质,比以前更可控的方式将药物附着在抗体上。
他们建立的AbClickPro是一种新型交联剂技术,用于使用基于硫酯的无痕交联方法进行位点特异性IgG偶联。
该技术可用于生成具有95%收率的功能化抗体,并已用于创建两种类型的接头:可逆的T-VC-DM1和T-nc-DM1。使用该技术生成的ADC在HER2/ν阳性细胞系和异种移植小鼠模型中显示出显着的细胞毒性和肿瘤抑制作用。AbClickPro为ADC治疗开发中稳健的化学、制造和控制提供了极好的机会。

图2 通过S到N的酰基转移进行位点特异性抗体-药物共轭的策略
图片来源:参考资料2
笔者顺便调查了一下Aptis公司的背景:
Abtis成立于2016年,旨在开发抗体位点特异性抗体药物偶联物(ADC)源技术,并开发ADC疗法。Abtis的ADC平台技术是一种创新的专有链接器平台技术,在可扩展性和CMC方面具有巨大优势。
目前,Abtis正在自主构建多种抗癌ADC管线,同时也通过开放式创新与多家抗体研发生物公司和药物研发制药公司合作开展ADC联合研究。
2021年1月,Abtis吸引了价值150亿韩元(约8千万人民币)的B轮投资,并计划借此进一步加速ADC的开发。
2021年12月,Aptis宣布与CDMO公司GenScript ProBio进行合作,用于临床前CMC开发以及ADC产品抗体的临床和商业生产,合作开发的ADC药物针对的靶点是Claudin-1。
此蛋白是Claudin蛋白家族的重要成员,Claudin18.2主要在胃上皮细胞中表达,并在胃癌、胰腺癌、乳腺癌、结肠癌和肝癌等原发性恶性肿瘤中高度表达。
去年11月,Aptis宣布和全球最大的CDMO公司Lonza合作,将aptis开发的“AppClick”平台技术,纳入Lonza开发抗体结合候选药物的定制化解决方案工具箱。
AbClick利用一种环肽与mAb的特定部位结合,由于连接剂与附近的赖氨酸建立了异肽键,提高了稳定性和抗裂解性,导致小分子与抗体结后之后的ADC药物更精确。

图3 Aptis官网介绍AbClick平台的优点
图片来源:官网截图
关键词:PROTAC
第二位嘉宾是来自韩国化学研究所的黄教授(Hwang Jong-yeon),他的发言主题是靶向蛋白降解(TPD):为小分子药物铺平道路。
黄博士在韩国西江大学化学研究所攻读五年硕博课程。毕业后在美国圣裘德儿童研究医院学习化学生物学,并在韩国巴斯德研究所学习传染病治疗两年。2013年调入韩国化学研究所生物制药研究本部,现任下一代医学研究中心蛋白水解诱导剂负责人。
他在回答观众关于PROTAC如何达到理想活性的提问中,强调了PROTAC研究时靶点不同,降解剂的活性会千差万别。
在针对A靶点时合成4个化合物就找到了50nM左右的苗头化合物,而另一个靶点合成了超过300个protac也没有找到低于10微摩的降解剂。所以他建议还是按照不同的靶向蛋白小分子连接长度为6个、9个、12个碳链的linker,再尝试CRBN或者VHL的E3水解酶结合子,合成20个左右的protac测一批活性。如果不行建议直接放弃,换一个靶点。
另外,PROTAC和分子胶水降解靶向的蛋白质时,在动物实验中老鼠模型安全性没问题,但在猴子模型会有毒副作用的情况也很常见,需要注意。
黄博士最后还强调,近期已有研究报道了PROTAC也产生了耐药性所以,对新型E3水解酶结合化合物的需求很大。
笔者多次聆听黄博士的PROTAC报告,每次都深入浅出,也指出目前PROTAC的种种挑战,以及分子胶水的潜在机遇。
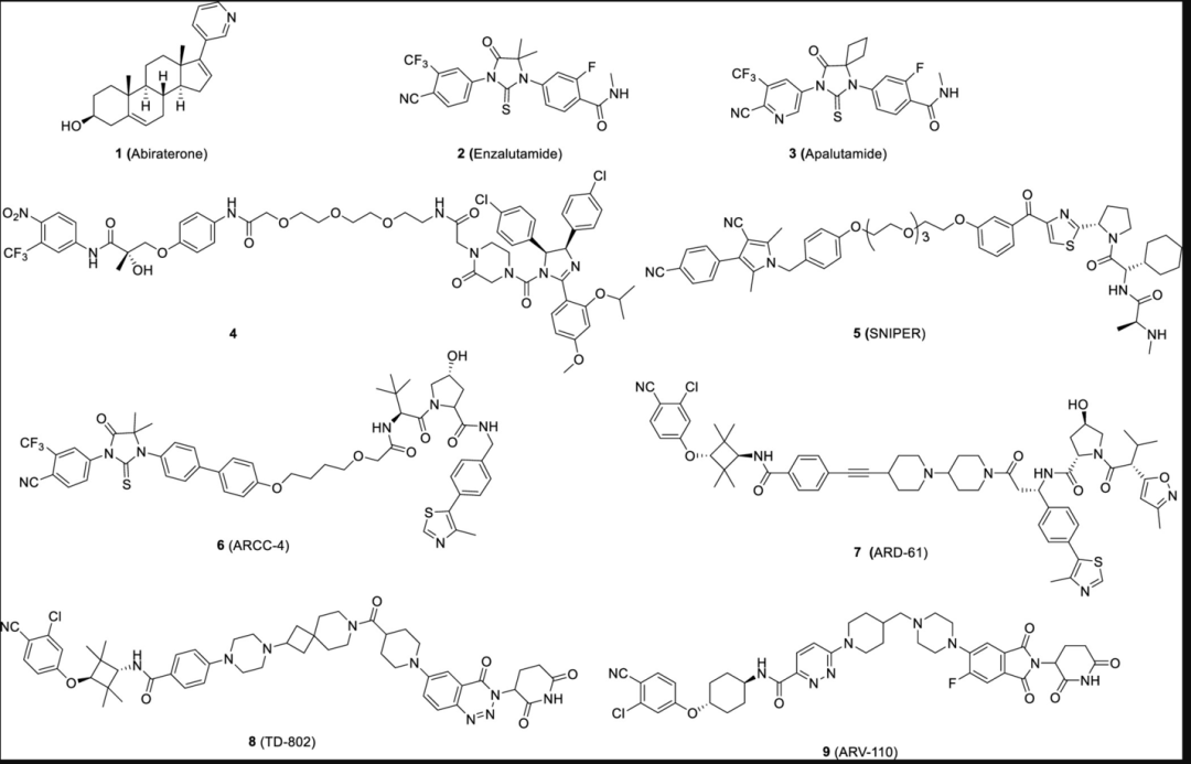
基于蛋白质分解靶向嵌合体(PROTAC)策略的蛋白质降解已经成为一种很有前途的药物发现方法。PROTAC小分子降解剂通过降低疾病组织中的目标蛋白水平,可以实现比传统小分子抑制剂更彻底的目标抑制,预计治疗效果更好。
目前为止,已经报道了一些类别的PROTAC AR降解剂。
2008年,耶鲁大学的PROTAC创始人Crews等人报道了一类AR降解剂的设计,使用配体来招募MDM2 E3连接酶。
2017年,Naito等人报道了特异性和非遗传性IAP依赖性蛋白清除剂(SNIPER)化合物,该化合物使用配体招募细胞凋亡蛋白抑制剂1(cIAP1)E3连接酶降解AR。Salami等人报道ARCC-4是一种强效的AR降解剂,通过招募VHL-1/cullin 2 E3连接酶复合物而运作。
王教授实验室报告了通过招募VHL-1/cullin 2 E3连接酶复合物发现的强效AR降解剂。
Takwale等人报告发现TD-802是一种有效的AR降解剂,具有良好的肝脏微粒体稳定性和药代动力学特性。来自Arvinas的科学家在专利和专利申请中披露了许多类PROTAC AR降解剂,并将ARV-110推进到临床开发。

图4 AR抑制剂和PROTAC AR降解剂
图片来源:韩欣博士JMC综述论文
关键词:DEL
第三位演讲嘉宾是来自浦项工大的林教授(Hyun‐Suk Lim)演讲主题是:基因编码库技术(DEL)用于药物开发的进展,局限性及解决方法。
林教授是韩国浦项科技大学(POSTECH)化学和先进材料科学部的教授。他已经发表了多篇关于DNA编码的各种化合物组合库的论文,如大环庚烷、双环庚烷和吡咯并[2,3-d]嘧啶为核心构建的DEL化合物库。这些DEL库有助于通过筛选大量具有生物目标的分子来发现新型候选药物。
DNA编码的组合库是小分子的集合,这些小分子附着在编码其化学结构的单个DNA序列上。它们有助于通过筛选大量具有生物目标的分子来发现新型候选药物。这些分子可以通过使用与DNA兼容的化学反应或使用天然或合成的构件(如氨基酸或蛋白酶)来合成。
林教授介绍说GSK公司内部约30%的项目使用DEL技术来寻找潜在候选药物。这项技术可以在数千万甚至上亿个化合物中找到小于1微摩的先导化合物,目前中国的CDMO公司包括药名康德和成都先导的DEL定制服务也很有名。但DEL由于使用DNA需要在水溶液中反应所以无法使用对水敏感的化学反应。
林教授团队设计了一种基于纳米粒子的体系可以解决传统DE化合物库的局限性。
笔者也调查了一些通过DNA编码库技术发现药物的例子。
GSK-2256294,一种可溶性环氧化物水解酶的强效抑制剂,它是慢性阻塞性肺病的潜在治疗药物;
GSK-3326595,一种蛋白精氨酸甲基转移酶5的选择性抑制剂,是一种潜在的癌症治疗药物;
PF-06650833,一种白细胞介素-1受体相关激酶4的抑制剂,是治疗类风湿性关节炎和其他炎症性疾病的潜在药物;
PF-06747775,一种白细胞介素-4受体α的抑制剂,是一种治疗哮喘和其他过敏性疾病的潜在药物。
另外,查尔斯河国际实验室和旗舰公司的先锋药品公司已经达成协议,使用Logica,一个利用DNA编码库的人工智能平台,来发现各种目标的新型药物。
小结
PROTAC是PROteolysis TArgeting Chimera的缩写,它是一种可以通过招募E3泛素连接酶来诱导目标蛋白降解的分子。
ADC是Antibody-Drug Conjugate的缩写,它是一种由抗体和细胞毒药物连接而成的分子,可以将药物选择性地传递给表达目标抗原的细胞。
DEL是指DNA编码库,这是一种分子集合,包含连接在DNA标签上的小分子,这些标签编码其化学结构,可以使用DNA测序对生物目标进行筛选。
这些技术的市场分析是复杂和动态的,因为它们仍处于早期开发阶段,面临着各种挑战,如特异性、稳定性、毒性和可扩展性。
这些技术的一些各自研发痛点是:
为PROTAC设计寻找合适的E3连接酶和连接物;为ADC设计优化药物与抗体的比例和结合部位;为DEL设计开发高效的合成和筛选方法。
解决这些问题的关键,笔者认为核心还是要扎根有机合成。